91国产
91国产
91国产概况
师资队伍
学科建设
科技创新
教育教学
学生工作
党建工作
招生就业
社会服务
院友之家
资料下载
学生工作
团委概况
学生活动
社会实践
团学工作
科技创新
院学生会沿革
团学工作
当前位置:
91国产
>
学生工作
>
团学工作
>
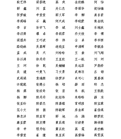
91国产 家庭经济困难学生认定名单公示
发布时间:2017-12-28 15:28 浏览次数:
91国产 家庭经济困难学生认定名单公示
根据《教育部财政部关于认真做好高等学校家庭经济困难学生认定工作的指导意见》、《91国产 家庭经济困难学生认定工作办法》文件精神,经学生申请、学院评审,968名本科生被认定为2017-2018年度91国产 家庭经济困难学生,现将名单予以公示。
91国产
2017年9月25日